您好,欢迎光临四川成考网(www.scck.sc.cn)!今天是
咨询电话:131-9488-3786RSS地图网站地图
四川成人高考网
了解成考
技巧心得
成绩查询
准考证打印
分数线
学士学位
首页
  • 考试报名
  • 成考政策
  • 成绩查询
  • 领准考证
  • 成考简章
  • 志愿填报
  • 录取查询
  • 录取分数
招生
  • 成考院校
  • 成考专业
报考
  • 新生必读
  • 报考系统四川成人高考报名系统
  • 考试教材
  • 考试大纲
  • 常见问题
  • 考试科目
备考
  • 历年真题
  • 模拟试题
  • 辅导讲义
  • 技巧心得
学历
  • 函授本科
  • 专本套读
  • 函授大专
  • 学位申请
您当前所在位置: 四川成考网 > 高等数学一> 2007年成人高考专升本(高数一)真题及答案

2007年成人高考专升本(高数一)真题及答案

发布时间:2019-12-23 16:26:17  来源:四川成考网  【大 中 小】   浏览热度()








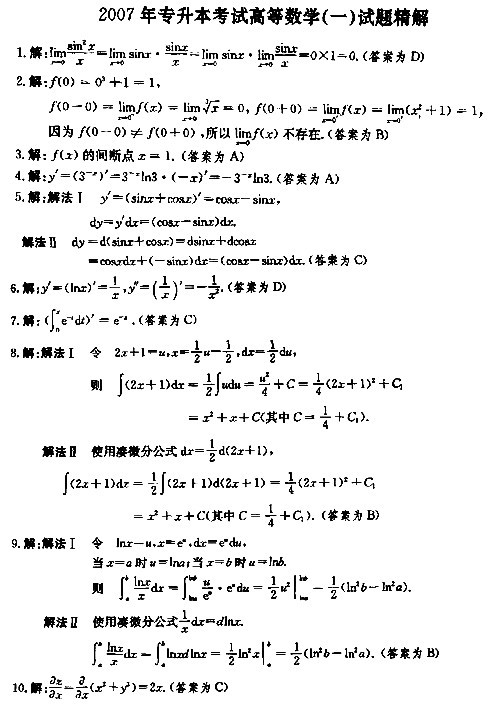
2007年成人高考专升本(高数一)真题及答案(图1)

2007年成人高考专升本(高数一)真题及答案(图2)

2007年成人高考专升本(高数一)真题及答案(图3)

2007年成人高考专升本(高数一)真题及答案(图4)

2007年成人高考专升本(高数一)真题及答案(图5)

热点关注:

2010年成人高考专升本高等数学(一)真题

2023年四川成人高考专升本《高数一》真题及答案已出(考生回忆版部分)

我已了解,立即报名
还不清楚,马上咨询

本文标签:四川成考 高等数学一 2007年成人高考专升本(高数一)真题及答案

转载请注明:文章转载自(http://www.scck.sc.cn)

本文地址:http://www.scck.sc.cn/gdsxy647/12076.html

《四川成考网》免责声明:
(一)由于考试政策等各方面情况的不断调整与变化,本网站所提供的考试信息仅供参考,请以权威部门公布的正式信息为准。
(二)本网站在文章内容来源出处标注为其他平台的稿件均为转载稿,免费转载出于非商业性学习目的,版权归原作者所有。如您对内容、版权等问题存在异议请与本站联系,我们会及时进行处理解决。联系邮箱:812379481@qq.com。

猜您喜欢

  • 2025年成人高考全国统一考试考生答题须知!
  • 四川省2025年成人高考考前温馨提示!
  • 四川省2025年成人高考报名工作顺利结束!
  • 四川农业大学2025年成人高考“现代农业技术专业...
  • 四川省2025年成人高考报名问答(二)(系统操作...
  • 四川省2025年成人高考报名问答(一)(报名政策...
  • @四川成人高考考生注意,四川省2024年成招征集...
  • 四川省2024年成人高考录取查询时间及查询渠道公...
  • 四川省2024年成人高考成绩查询通道将于明日17...
  • 四川省2024年成人高考顺利结束!
便捷服务
年全国成人高考预计还有

天

【考试时间:10月19、20日】

四川成人高考预报名入口 四川成考成绩查询
热门专业推荐
  • 行政管理专业
    层 次:专升本 学习期限:2.5年
  • 工商管理专业
    层 次:专升本 学习期限:2.5年
  • 酒店管理专业
    层 次:专升本 学习期限:3年
  • 人力资源管理专业
    层 次:专升本 学习期限:2.5年
  • 汉语言文学专业
    层 次:专升本 学习期限:2.5年
考生常见问题
  • 四川省2025年成人高考报名问答(二)(系统操作篇)
  • 四川省2025年成人高考报名问答(一)(报名政策篇)
  • 2025四川成考:志愿填报常见问题解答
  • 2025四川成考志愿:热门专业有哪些?
  • 四川成考2025志愿填报常见问题解答?
  • 2025四川成考志愿如何兼顾兴趣与就业?
  • 2025四川成考志愿填报重要提示?
  • 四川成考2025志愿如何修改?
  • 2025年四川成人高考加分政策有哪些变化?
  • 2025四川成考函授,本科文凭助你飞
领取备考方案

已帮助5w万+意向学历提升用户
成功上岸

四川地区

  • 成都成考网
  • 自贡成考网
  • 攀枝花成考网
  • 泸州成考网
  • 德阳成考网
  • 绵阳成考网
  • 广元成考网
  • 遂宁成考网
  • 内江成考网
  • 乐山成考网
  • 南充成考网
  • 眉山成考网
  • 宜宾成考网
  • 广安成考网
  • 达州成考网
  • 雅安成考网
  • 巴中成考网
  • 资阳成考网
  • 阿坝州成考网
  • 甘孜州成考网

四川成人高考,四川成考网,四川省成考网,四川成人高考网,四川省成人高考网,四川成人高考报名,四川成考成绩查询,四川成考取录查询,四川专升本,四川成人高考官网,四川函授本科,四川函授专升本,四川函授大专

Copyright © 2012- 四川成考网(www.scck.sc.cn) All Rights Reserved

声明:本站为四川成考民间交流网站,最新成人高考动态请各位考生以省教育考试院、各市成考办最新通知为准。

网上报警 可信网站身份验证 工商网监