欢迎光临四川省成人高考网,今天是
四川成人高考报名入口咨询电话:0851-85766631网站地图
四川成人高考网
了解成考
技巧心得
成绩查询
准考证打印
分数线
学士学位
首页
  • 考试报名
  • 成考政策
  • 成绩查询
  • 领准考证
  • 成考简章
  • 志愿填报
  • 录取查询
  • 录取分数
招生
  • 成考院校
  • 成考专业
报考
  • 新生必读
  • 报考系统四川成人高考报名系统
  • 考试教材
  • 考试大纲
  • 常见问题
  • 考试科目
备考
  • 历年真题
  • 模拟试题
  • 辅导讲义
  • 技巧心得
学历
  • 函授本科
  • 专本套读
  • 函授大专
  • 学位申请
您当前所在位置: 四川成人高考网 > 高等数学二> 2020年四川成人高考专升本《高等数学二》模拟试卷及参考答案一

2020年四川成人高考专升本《高等数学二》模拟试卷及参考答案一

2020-06-02  来源:四川成人高考网  【大 中 小】   浏览热度( )

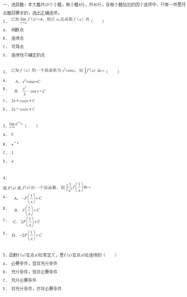
2020年四川成人高考专升本《高等数学二》模拟试卷及参考答案一

1.png


热点关注:

2020年四川成人高考专升本《高等数学二》模拟试卷及参考答案

成人高考高等数学二模拟试题

声明:
(一)由于考试政策等各方面情况的不断调整与变化,本网站所提供的考试信息仅供参考,请以权威部门公布的正式信息为准。
(二)本网站在文章内容来源出处标注为其他平台的稿件均为转载稿,免费转载出于非商业性学习目的,版权归原作者所有。如您对内容、版权等问题存在异议请与本站联系,我们会及时进行处理解决。
标签:

猜您喜欢

  • 2021年成都医学院成人高考招生简章
  • 2021年川北医学院成人高考招生简章
  • 2021年西华师范大学成人高考招生简章
  • 2021年西华大学成人高考招生简章
  • 2021年西南财经大学成人高考招生简章(含专业)
  • 四川成人函授教育和网络教育的文凭有用吗?
  • 四川成人函授教育有学籍档案吗?
  • 函授是不是成人高考?
便捷服务
2021年全国成人高考还有

天

【考试时间:10月23、24日】

四川成考报名系统 四川成考成绩查询
热门院校推荐
  • 四川大学
    招生类型:成人高考
  • 四川理工学院
    招生类型:成人高考
  • 四川师范大学
    招生类型:成人高考
  • 西南交通大学
    招生类型:成人高考
  • 四川农业大学
    招生类型:成人高考
  • 西南医科大学
    招生类型:成人高考
考生常见问题
  • 成人高考专升本报考的时候能不能跨专业?
  • 成人高考毕业待遇
  • 四川成考是否存在补考的机会提供给各位考生呢
  • 四川成考入学考试的某门课程出现缺考的现象还有
  • 四川成考几年的时间申请毕业可以参加补考吗
  • 四川成考有哪些优势可以提供继续报考呢
  • 四川成考入学考试没有达到招生的录取分数线能参
  • 成考报名学历要求吗
  • 西南交通大学招生专业有哪些?
  • 2021年四川成人高考优势是什么

四川地区

  • 成都成考网
  • 自贡成考网
  • 攀枝花成考网
  • 泸州成考网
  • 德阳成考网
  • 绵阳成考网
  • 广元成考网
  • 遂宁成考网
  • 内江成考网
  • 乐山成考网
  • 南充成考网
  • 眉山成考网
  • 宜宾成考网
  • 广安成考网
  • 达州成考网
  • 雅安成考网
  • 巴中成考网
  • 资阳成考网
  • 阿坝州成考网
  • 甘孜州成考网

四川成人高考,四川成考网,四川省成考网,四川成人高考网,四川省成人高考网,四川成人高考报名,四川成考成绩查询,四川成考取录查询,四川专升本,四川成人高考官网,四川函授本科,四川函授专升本,四川函授大专

www.gzckw.org All Rights Reserved. 四川成人高考网 版权所有

声明:本站为四川成考民间交流网站,最新成人高考动态请各位考生以省教育考试院、各市成考办最新通知为准。

网上报警 可信网站身份验证 工商网监